背景
当前位置:首页 > 酒店动态 > 商用模块化热水设备在星级酒店中的应用——北京瑞驰大酒店

商用模块化热水设备在星级酒店中的应用——北京瑞驰大酒店

  • 发布时间:2021-09-04 00:43:03

1、项目背景

北京瑞驰大酒店隶属于北京日报社,是由北京瑞驰大酒店有限责任公司管理的三星级酒店。酒店设计装修风格高雅,是一家集现代、舒适、人性化为一体的三星级酒店。总建筑面积10,000㎡,地下两层,地上十三层,共15层;地下二层为职工宿舍,地下一层为办公区,1-2层为大堂,3-4层设置两个餐厅,5-11层为客房,12层为多功能间,13层为补水设备间及储物间。客房区共有客房73间,包括标准间、单人间、小单人间及套房共140个床位。

酒店属于改造项目,2010年11月投入使用前采用市政热力供采暖和热水,并用一台燃油锅炉作为备用热源,但因市政热力不稳定,无法满足星级酒店的恒温要求,且燃油锅炉运行费用较高,且效率逐年衰减,因此酒店投资方决定自行采购热源设备。A.O.史密斯通过自身良好的品牌信誉、优质的产品质量、高效节能的供热方案及完善的售后服务体系博得了投资方的一致好评。最终中标,该方案采用两台A.O.史密斯商用直流式燃气热水锅炉DW系列供暖,采暖末端为风机盘管及新风机组;并采用两台A.O.史密斯商用容积式燃气热水炉BTR系列为客房提供热水。

2、采暖负荷和热水耗热量计算

1)采暖负荷计算:

参考《城市热力网设计规范》GBCJJ 34-20023.1.2条之规定:酒店采暖热指标推荐值为6070 W/ ㎡。考虑到瑞驰酒店对恒定室温的重视度,根据建筑情况采暖热指标取70 W/㎡,则所需的采暖热负荷为:

Q1 =10000×70÷1000700KW

2)热水耗热量计算:

客房热水耗热量计算:

参考《建筑给水排水设计规范》GB50015-20032009年版):

a) 宾馆旅客,每床位每日最高日用水定额:120~160 L60),此处取160L

b) 宾馆的热水小时变化系数为2.60-3.33,此处取2.9

c) 宾馆客房(不含员工)的集中热水供应系统的设计小时耗热量应按下列公式计算:


式中:Qh——设计小时耗热量(W);

m——用水计算单位数(人数或床位数);

qr——热水用水定额(L/人·dL/b·d);

C——水的比热,c=4187J/Kg·℃);

tr——热水温度,tr=60

tl——冬季冷水温度,(4);

ρ——热水密度(kg/L);

Kh——小时变化系数

则设计小时耗热量为:


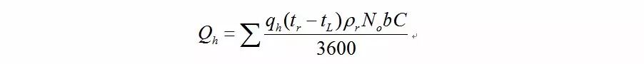
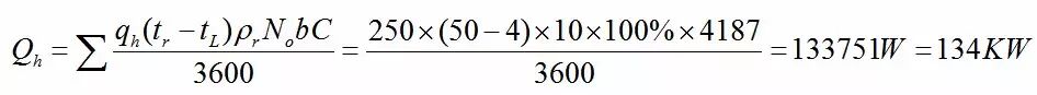
厨房热水耗热量计算:

参考《建筑给水排水设计规范》GB50015-20032009年版):

a) 餐饮业洗涤盆(池),卫生器具的小时用水量:250 L50

b) 定时供应热水的餐厅后厨设计小时耗热量应按下式计算:

式中:Qh——设计小时耗热量(W);

qh——卫生器具热水的小时用水定额(L/h);

C——水的比热,C=4187J/Kg·℃);

tr——热水温度,tr=50

tl——冬季冷水温度,(4);

ρr——热水密度(kg/L);

No——同类型卫生器具数;

b——卫生器具的同时使用百分数;住宅、旅馆、医院、疗养院病房,卫生间内浴盆或淋浴器可按70%~100%计;

则设计小时耗热量为:


3、选型计算

考虑到项目实际情况和客户需求,将热水与采暖系统分开,充分发挥A.O.史密斯商用产品模块化直供系统的性能特点。

1)采暖系统

采用A.O.史密斯DW-1480商用直流式燃气热水锅炉DW-1480额定输入热负荷为391KW,热效率≥90%

采暖系统使用台数:700÷391÷0.9 = 1.98

2)热水系统

采用A.O.史密斯BTR-338商用容积式燃气热水炉BTR-338额定输入热负荷为99KW,热效率≥88%

客房热水使用台数:177÷99÷0.88 = 2.03

餐厅后厨使用台数:134÷99÷0.88 = 1.6

由于客房和餐厅属于错峰使用,从初投资和系统节能角度考虑,客房和餐厅可共用一套系统——采用两台BTR-338直供热水。BTR-338拥有322L储水容积,两台设备可储存644L60的热水,满足15分钟的储热量要求。

因此选用两台DW-1480和两台BTR-338即可满足瑞驰酒店的采暖及热水需求。

4、系统特点

该项目使用两台DW-1480型商用直流式热水锅炉直供系统采暖,并采用一台2m3的软化水箱进行高位补水。此直供系统实现了酒店供暖需求,并省去了换热器等附件,系统故障率低;通过两台BTR-338商用容积式燃气热水炉直接为酒店的73间客房及2个厨房共10个星盆错峰提供热水,且本系统利用了BTR的多组进出水口,同时接入系统,为系统大量用水提供了保证,且无需软水及储热水箱,减小了设备间占地面积的同时也节省了初投资。且BTR系列产品额定热功率小于01MW,工作压力仅来自于自来水压力,最大水容积不超过500L,出口水温不超过90℃,因此其属于热水器范畴,在安装时无需报装,后期运行也无需锅检,这为投资方在人力物力方面都省掉了相当可观的一笔投资。


瑞驰大酒店供暖系统示意图



瑞驰大酒店直供热水系统示意图

5、项目特点及费用

瑞驰大酒店共15层,锅炉房设在地上一层,预留面积仅有25㎡,空间十分有限,此时正能突显A.O.史密斯商用直流式模块锅炉以及商用容积式燃气热水炉占地面积小,以及直供系统的应用优势,DW-1480锅炉体积小(长×宽×高 1765×864×1537 mm,单台占地面积仅2㎡,BTR-338(直径700 mm)单台占地面积不到1 ㎡,锅炉房总占地面积约25㎡(其中包含5㎡的泵房)。

原采用市政热力供应采暖及热水外加燃油锅炉备用,采暖季运行费用3200元/天,热水运行费用1850元/天;采用A.O.史密斯模块化热水设备后,采暖和热水日均耗气量分别为1008m3和310 m3,北京天然气价格为2.05元/ m3采暖和热水的运行费用为2066.4元/天和635.5元/天,采暖运行费用不到改造前的2/3,热水运行费用仅为改造前的1/3左右

6、现场照片

2台DW-1810
2台BTR-338


二、商用模块化热水设备在星级酒店中的应用优势

1)直供系统

A.O.史密斯商用产品具有高承压能力(承压高达1.05MPa),可直接供生活热水和采暖,减少了系统附件,从而减小了设备间占地面积的同时也节省了初投资。

2)模块化组合,节省系统运行费用

传统的设计方案通常不考虑备用热源,当热源出现故障时,就会影响正常供热。


针对这一情况,A.O.史密斯公司提出了“模块化”的概念:将每台热水设备同程并联,互为备用,热水设备之间的工作状态互不影响,用户可以根据实际热负荷的增减来调整启停台数。模块化的设计可以大大提高设备及投资的利用效率、运行安全性。采用模块化解决方案的用户,最直接的利益就是节省了运行费用。右图中红色与黑色曲线之间的白色区域,即为使用模块化设计与传统设计相比节省下来的费用。

3)静音燃烧

A.O.史密斯商用产品采用大气预混式燃烧器,运行时噪音低于40dB,低于国家规定的居民区噪音低于50dB的标准,适合于酒店、居民区等对噪音限制的场所使用;

4)使用低压燃气

A.O.史密斯商用产品的燃气使用压力范围为1500Pa-3450Pa,可直接采用民用燃气无需增压,既降低投资成本,又减少工程量。

5)安装方便、热效率高

A.O.史密斯商用产品由于其自己体积小、重量轻以及施工周期短等优势,使其安装灵活、方便;并且由于其内部高效的热交换系统,使其还具有热效率高的特点。

三、结论

A.O.史密斯商用产品具有直供系统减少工程量、模块化组合节省系统运行费用等优势。使其除了可以广泛应用于酒店、医院、学校、住宅小区、体育场馆等集中采暖、热水的项目外,尤其适合应用在安装场地紧凑、建筑承重较低的改造项目及高层建筑项目中。

参考文献:

[1]《建筑给水排水设计规范》 GB 50015-2003(2009版)

[2]《城市热力网设计规范》GB CJJ 34-2002

[3]国质检锅函〔2002〕288号

[4] 艾欧史密斯(中国)热水器有限公司商用热水产品合订本




友情链接